某城市日用水量服从正态分布,现随机抽取5天的用水量作为样本,求得=169万吨;s=0. 50万吨,则总体标准差σ的95%的置信区间为( )。A. ...

作者: rantiku 人气: - 评论: 0
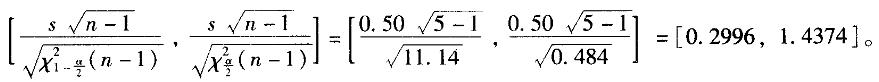
问题 某城市日用水量服从正态分布,现随机抽取5天的用水量作为样本,求得=169万吨;s=0. 50万吨,则总体标准差σ的95%的置信区间为( )。 A. [0.2996,1.4374] B. [0.4607,1.3821] C. [0.5612,1.2219] D. [0.6025,1.2945]
选项
答案 A
解析 正态总体标准差的1 - a置信区间为: 17.

猜你喜欢

发表评论
更多 网友评论0 条评论)
暂无评论

访问排行

Copyright © 2012-2014 恰考网 Inc. 保留所有权利。 Powered by tikuer.com

页面耗时0.0398秒, 内存占用1.03 MB, Cache:redis,访问数据库17次