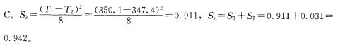
误差平方和Se= ( )。A. 0.031 B. 0.911C. 0. 942 D. 1. 884

作者: rantiku 人气: - 评论: 0
问题 误差平方和Se= ( )。 A. 0.031 B. 0.911 C. 0. 942 D. 1. 884
选项
答案 C
解析

猜你喜欢

发表评论
更多 网友评论0 条评论)
暂无评论

访问排行

Copyright © 2012-2014 恰考网 Inc. 保留所有权利。 Powered by tikuer.com

页面耗时0.0283秒, 内存占用1.03 MB, Cache:redis,访问数据库19次