进行单因子方差分析时,涉及( )个正态总体。A. 3 B. 5C.10 D. 15

作者: rantiku 人气: - 评论: 0
问题 进行单因子方差分析时,涉及( )个正态总体。 A. 3 B. 5 C.10 D. 15
选项
答案 B
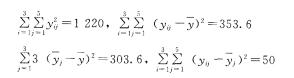
解析 。考察的是5种不同温度下化工产品的得率,因此是5个正态总体。

猜你喜欢

发表评论
更多 网友评论0 条评论)
暂无评论

访问排行

Copyright © 2012-2014 恰考网 Inc. 保留所有权利。 Powered by tikuer.com

页面耗时0.0466秒, 内存占用1.03 MB, Cache:redis,访问数据库20次