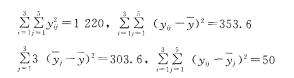
因子A的平方和为( )。A. 303. 6 B. 353. 6C.1 220 D.50

作者: rantiku 人气: - 评论: 0
问题 因子A的平方和为( )。 A. 303. 6 B. 353. 6 C.1 220 D.50
选项
答案 A
解析

猜你喜欢

发表评论
更多 网友评论0 条评论)
暂无评论

访问排行

Copyright © 2012-2014 恰考网 Inc. 保留所有权利。 Powered by tikuer.com

页面耗时0.0388秒, 内存占用1.03 MB, Cache:redis,访问数据库20次