某种动物能活到20岁的概率为0.8,活到25岁的概率是0.4,如今已活到20岁的这种动物至少能再活5年的概率是( )。A. 0.3 B. 0.4 C....

作者: rantiku 人气: - 评论: 0
问题 某种动物能活到20岁的概率为0.8,活到25岁的概率是0.4,如今已活到20岁的这种动物至少能再活5年的概率是( )。 A. 0.3 B. 0.4 C. 0.5 D. 0.6
选项
答案 C
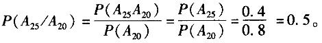
解析 记事件Ax=“某种动物能活到x岁”,则根据题意可知P(A20)=0.8,P(A25)= 0.4,所求的概率为P(A25/A20),由于该动物活到25岁一定要先活到20岁,所以A25CA20,则交事件A25A20=A25,故

猜你喜欢

发表评论
更多 网友评论0 条评论)
暂无评论

访问排行

Copyright © 2012-2014 恰考网 Inc. 保留所有权利。 Powered by tikuer.com

页面耗时0.0366秒, 内存占用1.03 MB, Cache:redis,访问数据库18次