已知X服从指数分布Exp(λ),其概率密度函数为:p(x)=λe-λx, λ=0.1的情况下,P(5≤X≤20)=( )。A. 0. 1353 B. ...

作者: rantiku 人气: - 评论: 0
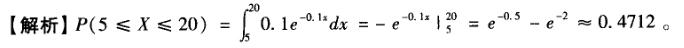
问题 已知X服从指数分布Exp(λ),其概率密度函数为:p(x)=λe-λx, λ=0.1的情况下,P(5≤X≤20)=( )。 A. 0. 1353 B. 0. 4712 C. 0. 6065 D. 0. 7418
选项
答案 B
解析

猜你喜欢

发表评论
更多 网友评论0 条评论)
暂无评论

访问排行

Copyright © 2012-2014 恰考网 Inc. 保留所有权利。 Powered by tikuer.com

页面耗时0.0405秒, 内存占用1.03 MB, Cache:redis,访问数据库19次