标有不同编号的红色球和白色球各四个,任取两个红色球和一个白色球,共有( )种不同的取法。A. 10 B. 15 C. 20 D. 24

作者: rantiku 人气: - 评论: 0
问题 标有不同编号的红色球和白色球各四个,任取两个红色球和一个白色球,共有( )种不同的取法。A. 10 B. 15 C. 20 D. 24
选项
答案 D
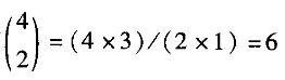
解析 第一步选红色球,有种取法;第二步选白色球,有4种取法。根据乘法原理,共有:6x4 =24种不同的取法。

猜你喜欢

发表评论
更多 网友评论0 条评论)
暂无评论

访问排行

Copyright © 2012-2014 恰考网 Inc. 保留所有权利。 Powered by tikuer.com

页面耗时0.0628秒, 内存占用1.03 MB, Cache:redis,访问数据库20次