已知产品的可靠度函数为R(t)=e-0.002t,则其故障密度函数为( )。A. -0.002e-0.002tB. 0.002e-0.002t C.1...

作者: rantiku 人气: - 评论: 0
问题 已知产品的可靠度函数为R(t)=e-0.002t,则其故障密度函数为( )。 A. -0.002e-0.002tB. 0.002e-0.002t C.1-0.002e-0.002t D. e-0.002t
选项
答案 B
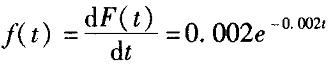
解析 在[0,∞)区间内,R(t) +F(t) =1。因此F(t)=1-(t) =1-e-0.002t ,则故障密度函数为

猜你喜欢

发表评论
更多 网友评论0 条评论)
暂无评论

访问排行

Copyright © 2012-2014 恰考网 Inc. 保留所有权利。 Powered by tikuer.com

页面耗时0.0655秒, 内存占用1.03 MB, Cache:redis,访问数据库18次