对下列常见密度函数所对应的方差的形式正确的一项是( )。A.两点分布b(1,p)的方差:np(1-p)B.超几何分布h(n, N,M)的方差:n(...

作者: rantiku 人气: - 评论: 0
问题 对下列常见密度函数所对应的方差的形式正确的一项是( )。 A.两点分布b(1,p)的方差:np(1-p) B.超几何分布h(n, N,M)的方差:n(N -n)/(N -1) ? (M/N) (1 - (M/N)) C.均匀分布U(a, b)的方差:(b +a)2/12
选项
答案 B
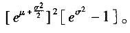
解析 A项,两点分布的方差为p(1-p); C项,均匀分布的方差为(b-a)2/12; D项, 对数正态分布的方差为

猜你喜欢

发表评论
更多 网友评论0 条评论)
暂无评论

访问排行

Copyright © 2012-2014 恰考网 Inc. 保留所有权利。 Powered by tikuer.com

页面耗时0.0261秒, 内存占用1.03 MB, Cache:redis,访问数据库16次