故障率函数可用( )进行工程计算。

作者: rantiku 人气: - 评论: 0
问题 故障率函数可用( )进行工程计算。
选项
答案 C
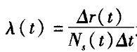
解析 故障率一般用λ(t)表示。一般情况下,λ(t)可用公式进行计算。 式中,Δr(t)表示t时刻后,Δt时间内发生故障的产品数;Δt表示所取时间间隔;Ns(t)表示在t时刻没有发生故障的产品数。

猜你喜欢

发表评论
更多 网友评论0 条评论)
暂无评论

访问排行

Copyright © 2012-2014 恰考网 Inc. 保留所有权利。 Powered by tikuer.com

页面耗时0.0351秒, 内存占用1.03 MB, Cache:redis,访问数据库19次