设t=0时,投入工作的灯泡有10000只,以天作为度量时间的单位,当t =365天时, 发现有300只灯泡坏了,若一年后的第一天又有1只灯泡坏了,此时故障...

作者: rantiku 人气: - 评论: 0
问题 设t=0时,投入工作的灯泡有10000只,以天作为度量时间的单位,当t =365天时, 发现有300只灯泡坏了,若一年后的第一天又有1只灯泡坏了,此时故障率是( )。 A. 0. 000103/天 B. 0. 00103/天 C. 0. 0103/天 D.0. 103/天
选项
答案 A
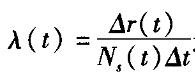
解析 故障率的计算公式为:。式中,Δr(t)表示t时刻后,Δt时间内发生故障的产品数;Δt表示所取时间间隔;Ns(t)表示在t时刻没有发生故障的产品数。已知,Δt=1,Δr(t)=1,Ns(t)=9700,则λ(t) =1/9700x1≈0.000103/天。

猜你喜欢

发表评论
更多 网友评论0 条评论)
暂无评论

访问排行

Copyright © 2012-2014 恰考网 Inc. 保留所有权利。 Powered by tikuer.com

页面耗时0.0358秒, 内存占用1.03 MB, Cache:redis,访问数据库18次