由电感和电容组成的振荡器中,已知电感和电容的故障率λL=λc= 10-7/h,且电感和电容的寿命都服从指数分布,则振荡器的MTBF值不正确的有( )。...

作者: rantiku 人气: - 评论: 0
问题 由电感和电容组成的振荡器中,已知电感和电容的故障率λL=λc= 10-7/h,且电感和电容的寿命都服从指数分布,则振荡器的MTBF值不正确的有( )。 A. 5 x 106h B. 5 x107h C. 5 x 108h D. 2x107h E. 0. 5 x 107h
选项
答案 BCD
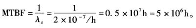
解析 由题意可知:系统的故障率λs=λL+λc=2x10-7/h,因此,系统的平均故障间隔时间:

猜你喜欢

发表评论
更多 网友评论0 条评论)
暂无评论

访问排行

Copyright © 2012-2014 恰考网 Inc. 保留所有权利。 Powered by tikuer.com

页面耗时0.0410秒, 内存占用1.03 MB, Cache:redis,访问数据库18次