一种电子元件的正常寿命服从λ=0.1的指数分布,则这个电子元件可用时间在100小时之内的概率为( )。A. 99. 05% B. 99. 85% C....

作者: rantiku 人气: - 评论: 0
问题 一种电子元件的正常寿命服从λ=0.1的指数分布,则这个电子元件可用时间在100小时之内的概率为( )。 A. 99. 05% B. 99. 85% C. 99. 95% D. 99. 99%
选项
答案 D
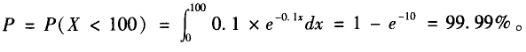
解析 电子元件正常寿命的概率密度函数为:P(x) = 0.1e-0.1x,x≥0,可用时间在100小时之内的概率

猜你喜欢

发表评论
更多 网友评论0 条评论)
暂无评论

访问排行

Copyright © 2012-2014 恰考网 Inc. 保留所有权利。 Powered by tikuer.com

页面耗时0.0326秒, 内存占用1.03 MB, Cache:redis,访问数据库18次