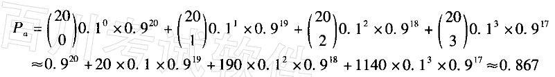
有一批1000件的产品送检,若采用(20,3)的抽样方案,当p=10%时的接收概率是()。A. 0. 133 B. 0. 821 C. 0. 867 ...

作者: rantiku 人气: - 评论: 0
问题 有一批1000件的产品送检,若采用(20,3)的抽样方案,当p=10%时的接收概率是()。 A. 0. 133 B. 0. 821 C. 0. 867 D. 0. 995
选项
答案 C
解析 根据题意,N=1000, n=20, Ac=3,则n/N ,代入数据求得:

猜你喜欢

发表评论
更多 网友评论0 条评论)
暂无评论

访问排行

Copyright © 2012-2014 恰考网 Inc. 保留所有权利。 Powered by tikuer.com

页面耗时0.0375秒, 内存占用1.03 MB, Cache:redis,访问数据库19次