从100m棉布中随机抽取3m进行检验,已知该批棉布平均每6m有1个缺陷。如果抽取的3m棉布中不超过1个缺陷就接收,则接收概率约为( )。A. 0.05...

作者: rantiku 人气: - 评论: 0
问题 从100m棉布中随机抽取3m进行检验,已知该批棉布平均每6m有1个缺陷。如果抽取的3m棉布中不超过1个缺陷就接收,则接收概率约为( )。 A. 0.05 B. 0.09 C. 0.91 D. 0. 95
选项
答案 C
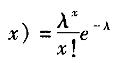
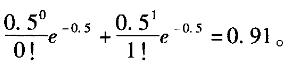
解析 样本量n=3,对批质量p而言,计点抽检时可用泊松分布计算接收概率:P(X= 。其中λ的单位是“平均每6m有一个缺陷”,而x的单位是“3m中无缺陷”,所以λ与x的单位要统一(都为3m),因此λ应为“平均每3m有0.5个缺陷”。即λ =0.5,x=0,1。故P = P(x=0) +p(x =1) =

猜你喜欢

发表评论
更多 网友评论0 条评论)
暂无评论

访问排行

Copyright © 2012-2014 恰考网 Inc. 保留所有权利。 Powered by tikuer.com

页面耗时0.0371秒, 内存占用1.03 MB, Cache:redis,访问数据库19次