有一批100000个的铸件产品送检抽查外观,若采用(100,15)的抽样方案,当p= 10% 时的接收概率是()。A. 0.951 B. 0.961 ...

作者: rantiku 人气: - 评论: 0
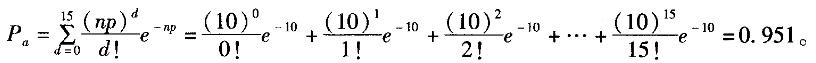
问题 有一批100000个的铸件产品送检抽查外观,若采用(100,15)的抽样方案,当p= 10% 时的接收概率是()。 A. 0.951 B. 0.961 C. 0.972 D. 0.982
选项
答案 A
解析 采用泊松分布计算法计算如下:

猜你喜欢

发表评论
更多 网友评论0 条评论)
暂无评论

访问排行

Copyright © 2012-2014 恰考网 Inc. 保留所有权利。 Powered by tikuer.com

页面耗时0.0265秒, 内存占用1.03 MB, Cache:redis,访问数据库17次