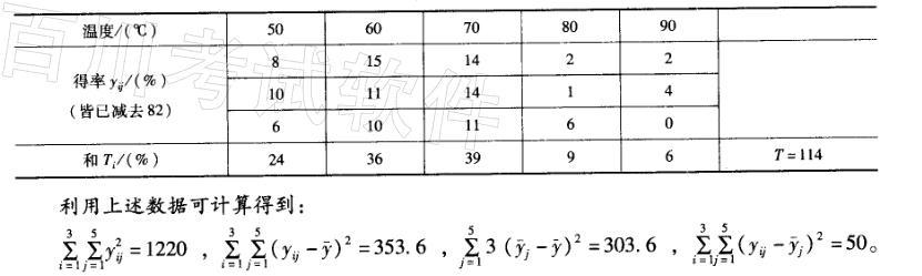
考察温度对某一化工产品得率的影响,特选5种不同温度进行试验,并在同一温度下各进行3次重复试验,试验结果如表所示。进行单因子方差分析时,涉及( ...

作者: rantiku 人气: - 评论: 0
问题 考察温度对某一化工产品得率的影响,特选5种不同温度进行试验,并在同一温度下各进行3次重复试验,试验结果如表所示。 进行单因子方差分析时,涉及( )个正态总体。 A. 3 B. 5 C. 10 D. 15
选项
答案 D
解析 因为对五种不同温度进行试验,所以需要对五种温度的总体进行抽样,即共需涉及5个正态总体。

猜你喜欢

发表评论
更多 网友评论0 条评论)
暂无评论

访问排行

Copyright © 2012-2014 恰考网 Inc. 保留所有权利。 Powered by tikuer.com

页面耗时0.0323秒, 内存占用1.03 MB, Cache:redis,访问数据库19次