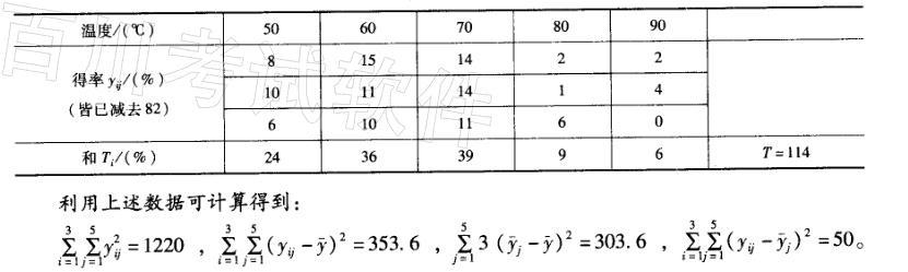
考察温度对某一化工产品得率的影响,特选5种不同温度进行试验,并在同一温度下各进行3次重复试验,试验结果如表所示。因子A的平方和为( )。A...

作者: rantiku 人气: - 评论: 0
问题 考察温度对某一化工产品得率的影响,特选5种不同温度进行试验,并在同一温度下各进行3次重复试验,试验结果如表所示。 因子A的平方和为( )。 A. 303.6 B. 353.6 C. 1220 D. 50
选项
答案 A
解析 已知因子A的水平r=5,试验次数m=3,所以因子A的平方和为:

猜你喜欢

发表评论
更多 网友评论0 条评论)
暂无评论

访问排行

Copyright © 2012-2014 恰考网 Inc. 保留所有权利。 Powered by tikuer.com

页面耗时0.0794秒, 内存占用1.03 MB, Cache:redis,访问数据库20次