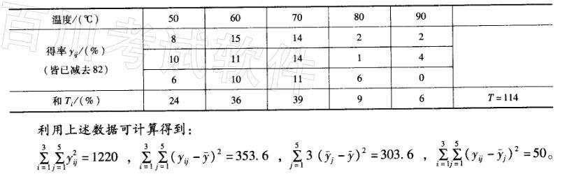
考察温度对某一化工产品得率的影响,特选5种不同温度进行试验,并在同一温度下各进行3次重复试验,试验结果如表所示。若取显著性水平a =0.05,...

作者: rantiku 人气: - 评论: 0
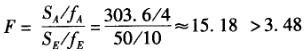
问题 考察温度对某一化工产品得率的影响,特选5种不同温度进行试验,并在同一温度下各进行3次重复试验,试验结果如表所示。 若取显著性水平a =0.05,査F分布表得临界值是3. 48,则( )。 A.因子A显著 B.因子A不显著 C.误差方差σ2的估计为5 D.误差方差σ2的估计为12. 5
选项
答案 AC
解析 由于,所以因子A显著;误差方差σ2的估计为:MSE= SE/fE =50/10 =5 。

猜你喜欢

发表评论
更多 网友评论0 条评论)
暂无评论

访问排行

Copyright © 2012-2014 恰考网 Inc. 保留所有权利。 Powered by tikuer.com

页面耗时0.0383秒, 内存占用1.03 MB, Cache:redis,访问数据库17次