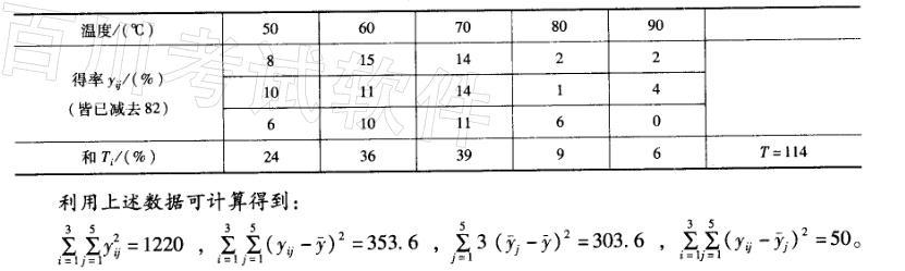
考察温度对某一化工产品得率的影响,特选5种不同温度进行试验,并在同一温度下各进行3次重复试验,试验结果如表所示。误差平方和的自由度为( )。 ...

作者: rantiku 人气: - 评论: 0
问题 考察温度对某一化工产品得率的影响,特选5种不同温度进行试验,并在同一温度下各进行3次重复试验,试验结果如表所示。 误差平方和的自由度为( )。 A. 14 B. 10 C. 5 D. 4
选项
答案 B
解析 由题意,总的试验次数n = 15,因子水平数r =5,所以总离差平方和的自由度为fT = n-1=14,因子A平方和的自由度为:fA=r-1 =4,而误差平方和的自由度为:fE=fT -fA =4-4 =10。

猜你喜欢

发表评论
更多 网友评论0 条评论)
暂无评论

访问排行

Copyright © 2012-2014 恰考网 Inc. 保留所有权利。 Powered by tikuer.com

页面耗时0.0362秒, 内存占用1.03 MB, Cache:redis,访问数据库19次