某厂生产白水泥,对每一窑生产的水泥都需要测定其抗压强度,以确定水泥标号,一般是将水泥出窑后做成的试块养护28天所测得的数据为准。但是水泥不可能堆放28天后...

作者: rantiku 人气: - 评论: 0
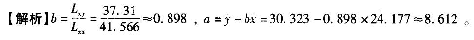
问题 某厂生产白水泥,对每一窑生产的水泥都需要测定其抗压强度,以确定水泥标号,一般是将水泥出窑后做成的试块养护28天所测得的数据为准。但是水泥不可能堆放28天后再出厂,所以考虑用7天的抗压强度x来预测28天的抗压强度y。现在统计了26窑的数据,求得的结果为:,假定在显著性水平a =0.05上查表得到相关系数的临界值为0.388,F分布的临界值为4. 26。 y关于x的一元线性回归方程= a+bx中,a与b分别为( )。 A. a =3. 390; b= 1. 114 B. a =8. 612;b=0.898 C. a =8. 612;b= 1. 114 D. a =8. 632;b=0.898
选项
答案 B
解析

猜你喜欢

发表评论
更多 网友评论0 条评论)
暂无评论

访问排行

Copyright © 2012-2014 恰考网 Inc. 保留所有权利。 Powered by tikuer.com

页面耗时0.0651秒, 内存占用1.03 MB, Cache:redis,访问数据库20次