某厂生产白水泥,对每一窑生产的水泥都需要测定其抗压强度,以确定水泥标号,一般是将水泥出窑后做成的试块养护28天所测得的数据为准。但是水泥不可能堆放28天后...

作者: rantiku 人气: - 评论: 0
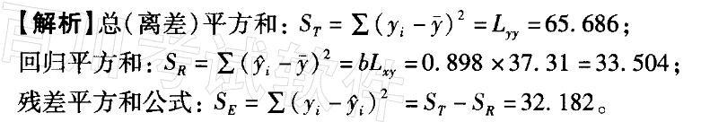
问题 某厂生产白水泥,对每一窑生产的水泥都需要测定其抗压强度,以确定水泥标号,一般是将水泥出窑后做成的试块养护28天所测得的数据为准。但是水泥不可能堆放28天后再出厂,所以考虑用7天的抗压强度x来预测28天的抗压强度y。现在统计了26窑的数据,求得的结果为:,假定在显著性水平a =0.05上查表得到相关系数的临界值为0.388,F分布的临界值为4. 26。 在对方程的总(离差)平方和作分解时,下列计算正确的是( )。 A.回归平方和是33. 504 B.残差平方和为24. 123 C.回归平方和是41. 563 D.残差平方和为32. 182
选项
答案 AD
解析

猜你喜欢

发表评论
更多 网友评论0 条评论)
暂无评论

访问排行

Copyright © 2012-2014 恰考网 Inc. 保留所有权利。 Powered by tikuer.com

页面耗时0.0434秒, 内存占用1.03 MB, Cache:redis,访问数据库20次