质量特性A和B都服从正态分布,均值均为100,特性A的标准差是15,特性B的标准差是5,则下列结论中,正确的有( )。A.特性A的观测值比特性B的观测...

作者: rantiku 人气: - 评论: 0
问题 质量特性A和B都服从正态分布,均值均为100,特性A的标准差是15,特性B的标准差是5,则下列结论中,正确的有( )。 A.特性A的观测值比特性B的观测值更趋近平均值 B.特性B的观测值比特性A的观测值的分布更集中 C.特性A的观测值落入区间[95,105 ]的概率是特性B的观测值落入该区间的概率的1/3 D.特性B的观测值落入区间[85,115]概率为99. 73% E.特性A和特性B具有相同的概率分布函数
选项
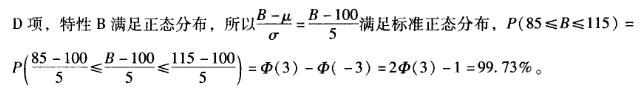
答案 BD
解析 B项,方差用来表示分布的散布大小,方差大意味着分布的散布程度较大,也即分布较分散;方差小意味着分布的散布程度小,也即分布较集中。标准差为方差的平方根,因为特性B的标准差小于特性A的标准差,则特性B的观测值比特性A的观测值的分布更集中。

猜你喜欢

发表评论
更多 网友评论0 条评论)
暂无评论

访问排行

Copyright © 2012-2014 恰考网 Inc. 保留所有权利。 Powered by tikuer.com

页面耗时0.0350秒, 内存占用1.03 MB, Cache:redis,访问数据库20次