设随机变量X~N(μ,σ2),下列关系式中正确的有( )。A. P(X>μ+σ) =P(X≤μ-σ) B. P(X≥μ+2σ) >P(XC. P(...

作者: rantiku 人气: - 评论: 0
问题 设随机变量X~N(μ,σ2),下列关系式中正确的有( )。 A. P(X>μ+σ) =P(X≤μ-σ) B. P(X≥μ+2σ) >P(X C. P(X P(X>μ+3σ) D. P(X>μ-σ) E. P(X>μ+σ) + P(X≤μ-σ) =1
选项
答案 AC
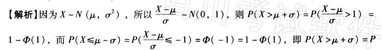
解析 (X≤μ-σ);同理可得 P(X≥μ+2σ)=1 -Φ(2),P(Xμ+3σ)=1-Φ(3),而Φ(2)所以P(X P(X>μ+3σ)。

猜你喜欢

发表评论
更多 网友评论0 条评论)
暂无评论

访问排行

Copyright © 2012-2014 恰考网 Inc. 保留所有权利。 Powered by tikuer.com

页面耗时0.0296秒, 内存占用1.03 MB, Cache:redis,访问数据库19次