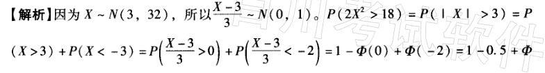
设X~N(3,32),则 P(2X2>18)=( )。A. 2Φ(3) -1 B. 1 - [Φ(0) -Φ( -2)]C. 0.5 +Φ( -2...

作者: rantiku 人气: - 评论: 0
问题 设X~N(3,32),则 P(2X2>18)=( )。 A. 2Φ(3) -1 B. 1 - [Φ(0) -Φ( -2)] C. 0.5 +Φ( -2) D. 1.5 -Φ(2) E. 2Φ(3)
选项
答案 BCD
解析 (-2) =0.5+Φ( -2) =0.5+1 -Φ(2) =1.5-Φ(2)。

猜你喜欢

发表评论
更多 网友评论0 条评论)
暂无评论

访问排行

Copyright © 2012-2014 恰考网 Inc. 保留所有权利。 Powered by tikuer.com

页面耗时0.0295秒, 内存占用1.03 MB, Cache:redis,访问数据库17次