—个n = 10的样本观测值为:15.9,18.3,17.4,19.5,18.5,18.6,18.8,18.7,19.2,18.8,则样本标准差为()。 ...

作者: rantiku 人气: - 评论: 0
问题 —个n = 10的样本观测值为:15.9,18.3,17.4,19.5,18.5,18.6,18.8,18.7,19.2,18.8,则样本标准差为()。 A. 0.94 B. 1.03 C. 1.61 D. 1.71
选项
答案 B
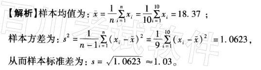
解析

猜你喜欢

发表评论
更多 网友评论0 条评论)
暂无评论

访问排行

Copyright © 2012-2014 恰考网 Inc. 保留所有权利。 Powered by tikuer.com

页面耗时0.0342秒, 内存占用1.03 MB, Cache:redis,访问数据库19次