设X~N(μ,σ2),σ已知,xi为样本(i= 1,2,…,n)。 H0:μ=μ0 , H1:μ≠μ0 ,则检验统计量指的是( )。

作者: rantiku 人气: - 评论: 0
问题 设X~N(μ,σ2),σ已知,xi为样本(i= 1,2,…,n)。 H0:μ=μ0 , H1:μ≠μ0 ,则检验统计量指的是( )。
选项
答案 B
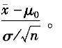
解析 对于单个正态总体,当总体方差σ2已知时,均值μ的检验统计量为

猜你喜欢

发表评论
更多 网友评论0 条评论)
暂无评论

访问排行

Copyright © 2012-2014 恰考网 Inc. 保留所有权利。 Powered by tikuer.com

页面耗时0.0442秒, 内存占用1.03 MB, Cache:redis,访问数据库18次