设X~N(μ,σ2),σ未知,xi为样本(i= 1,2,…,n)。 H0:μ≤μ0 , H1:μ>μ0 , a 为显著性水平,则接受域( )。

作者: rantiku 人气: - 评论: 0
问题 设X~N(μ,σ2),σ未知,xi为样本(i= 1,2,…,n)。 H0:μ≤μ0 , H1:μ>μ0 , a 为显著性水平,则接受域( )。
选项
答案 C
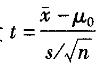
解析 对单侧要求的假设检验,σ未知,采用t检验,检验统计量,拒绝域为{t>t1-a(n-1)},所以接受域为{t1-a(n-1)}。

猜你喜欢

发表评论
更多 网友评论0 条评论)
暂无评论

访问排行

Copyright © 2012-2014 恰考网 Inc. 保留所有权利。 Powered by tikuer.com

页面耗时0.0484秒, 内存占用1.03 MB, Cache:redis,访问数据库18次