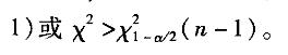
已知X1,X2,…Xn是从某正态总体随机抽取的一个样本,在μ未知的情况下,对于假设的检验问题H0: σ2 =σ20 , H1: σ2 ≠σ20 ,则给定a...

作者: rantiku 人气: - 评论: 0
问题 已知X1,X2,…Xn是从某正态总体随机抽取的一个样本,在μ未知的情况下,对于假设的检验问题H0: σ2 =σ20 , H1: σ2 ≠σ20 ,则给定a下,该检验的拒绝域为( )。
选项
答案 C
解析 μ未知,对正态分布方差σ2作假设检验时,采用X2检验,拒绝域为

猜你喜欢

发表评论
更多 网友评论0 条评论)
暂无评论

访问排行

Copyright © 2012-2014 恰考网 Inc. 保留所有权利。 Powered by tikuer.com

页面耗时0.0359秒, 内存占用1.03 MB, Cache:redis,访问数据库17次