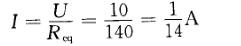
图示电路中U= 10V,电阻均为100Ω,则电路中的电流I应为下列哪项数值?()
A.(1/14)
B.(1/7)
C. 14
D. 7
相关内容:电路,电阻,电流,数值
- —台三相4极的感应电动机运行在额定状态,其f=50Hz,nN=1460r/min,转子电阻实际值R2=0.106Ω。在负载转矩不变的情况下,当转子电路中串...
- 三相感应电动机启动时,所带负载越大,其启动电流是()。
(A)与负载大小无关(B)与负载大小有关(C)越大 (D)越小
- —台三相变压器的额定容傲SN =3 200 KVA,额定电压U1N/U2N=35/10. 5 KV,其 —次侧额定电流为( )A。
(A)91.4 (B...
- 在电力系统短路电流计算中,假设各元件的磁路不饱和的目的是()。
(A)可以应用叠加原理 (B)避免复数运算
(C)不计过渡电阻 (D)化故障系统为对称...
- 变压器励磁电阻Rm的物理意义是反映变压器()的一个等效电阻。
(A)总损耗 (B)短路损耗 (C)铁芯损耗 (D)二次绕组损耗
- 变压器空载合闸时不产生冲击电流的电压初相角α0为()。
(A)0 (B)π/6 (C)π/3 (D)π/2
- 在三相感应电动机的转子电路中串入电抗,则电机的启动转矩将会()。
(A)增大 (B)减小 (C)不变 (D)不确定
- —台Y/△—11连接的三相变压器,其额定容饿SN=5600kVA,额定电压U1N/U2N=35/6.3kV,短路电阻Rk=2.07短路电抗Xk=16.2Ω...
- 一台三相同步电动机的同步电抗Xc=5.8Ω,UN=380V,IN=25.3A,cosψ=0.9,不计定子电阻,Y接法。额定状态运行时的空载电动势E0=25...
- 一台三相感应电动机的额定电压UN=220V,定子三相绕组为△接法。启动时将定子绕组改为Y接法,并接在380V的交流电源上,则电机的启动电流与接在220V电...