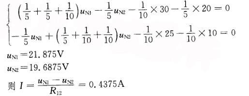
若图示电路中的电压值为该点的结点电压,则电路中的电流I应为下列哪项数值? A. -2A B. 2A C. 0. 8750A D. 0. 4375A

作者: tihaiku 人气: - 评论: 0
问题 若图示电路中的电压值为该点的结点电压,则电路中的电流I应为下列哪项数值? A. -2A B. 2A C. 0. 8750
选项 A D. 0. 4375A
答案 D
解析 解:由节点电压法可知:

相关内容:电路,电压,该点,结点,电流,数值

猜你喜欢

发表评论
更多 网友评论0 条评论)
暂无评论

访问排行

Copyright © 2012-2014 恰考网 Inc. 保留所有权利。 Powered by tikuer.com

页面耗时0.0894秒, 内存占用1.03 MB, Cache:redis,访问数据库15次