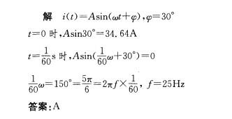
已知正弦电流的初相为30°,在t=0时的瞬时值是34.64A,经过(1/60)s后电流第一次下降为0,则其频率为()。A. 25Hz
B 50Hz
C...
相关内容:正弦,初相,34.64A,电流,第一次,频率
- 设Zff为短路点输入阻抗,Zjf为j、f之间的转移阻抗,n为网络中节点总数,则下列关于电流分布系数的式子中正确的是()。
- 在电力系统短路电流计算中,假设各元件的磁路不饱和的目的是()。
(A)可以应用叠加原理 (B)避免复数运算
(C)不计过渡电阻 (D)化故障系统为对称...
- 衡量电能质量的主要指标是()。
(A)电压 (B)电压、频率(C)频率 (D)电压、频率和谐波
- 我国电力系统的频率是()Hz。
(A)60 (B)50 (C)48 (D)55
- 在图1.1-8电路中,Is =2 A,求该独立电流源供出的功率。
- —台水轮发电机的电动势频率为50Hz,磁极数为12,其额定转速nN等于()r/min。
(A)50 (B)600 (C)500 (D)250
- 在短路的实用计算中,通常只用()的有效值来计算短路功率。
(A)非周期分世电流(B)短路全电流(C)短路电流自由分狱(D)周期分量电流
- Ip=0.5,短路发生在发电机电压母线时,短路电流的最大有效值I im为()。
(A)0.81(B)0.755 (C)0.78 (D)0.5
- —台并联于无穷大电网的同步发电机,在电流落后于电压某一相角时,保持原动机输入不变,逐渐减小励磁电流,则电枢电流为()。
(A)渐大 (B)先增大后减小(...
- 一台单相变压器的额定电压为U1N/U2N=10/0.4kV = 10/0.4 kV,额定电流为I1N/I2N =25/625 A,则变压器的额定容量SN为...