如图所示RLC串联电路中,已知R=1OΩ , L = 0.05H,C = 50μF,电源电压:u(t) = 20 + 90sin(ωt)+30sin(3ω...

作者: tihaiku 人气: - 评论: 0
问题 如图所示RLC串联电路中,已知R=1OΩ , L = 0.05H,C = 50μF,电源电压:u(t) = 20 + 90sin(ωt)+30sin(3ωt + 45°)V,电源的基波角频率ω=314rad/s。电路中的电流i(t)为( )。
选项
答案 B
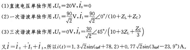
解析 解如图所示。 答案:B

相关内容:如图,电路,电源,电压,+30sin

猜你喜欢

发表评论
更多 网友评论0 条评论)
暂无评论

访问排行

Copyright © 2012-2014 恰考网 Inc. 保留所有权利。 Powered by tikuer.com

页面耗时0.0337秒, 内存占用1.04 MB, Cache:redis,访问数据库19次