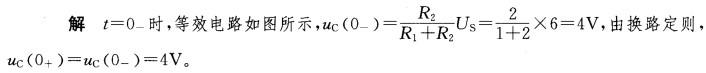
如图所示电路中,已知Us = 6V,R1=1Ω,R2=2Ω,R3=4Ω,开关闭合前电流处于稳态,t=0时开关S闭合。t = 0+时,Uc(0+)为( )。...

作者: tihaiku 人气: - 评论: 0
问题 如图所示电路中,已知Us = 6V,R1=1Ω,R2=2Ω,R3=4Ω,开关闭合前电流处于稳态,t=0时开关S闭合。t = 0+时,Uc(0+)为( )。
选项 A. -6V B. 6V C. -4V D. 4V
答案 D
解析 答案:D

相关内容:如图,电路,开关,电流,稳态

猜你喜欢

发表评论
更多 网友评论0 条评论)
暂无评论

访问排行

Copyright © 2012-2014 恰考网 Inc. 保留所有权利。 Powered by tikuer.com

页面耗时0.0593秒, 内存占用1.04 MB, Cache:redis,访问数据库18次