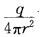
无限大真空中一半径为a的带电导体球,所带体电荷在球内均匀分布,体电荷总量为q。在球外(即r>a处)任一点r处的电场强度的大小E为( )V/m。

作者: tihaiku 人气: - 评论: 0
问题 无限大真空中一半径为a的带电导体球,所带体电荷在球内均匀分布,体电荷总量为q。在球外(即r>a处)任一点r处的电场强度的大小E为( )V/m。
选项
答案 D
解析 解带电金属球在无限大均匀介质中产生的电场强度E=V/m。 答案:D

相关内容:无限大,空中,半径,导体,电荷,总量,任一点,电场,强度,大小

猜你喜欢

发表评论
更多 网友评论0 条评论)
暂无评论

访问排行

Copyright © 2012-2014 恰考网 Inc. 保留所有权利。 Powered by tikuer.com

页面耗时0.0459秒, 内存占用1.04 MB, Cache:redis,访问数据库16次