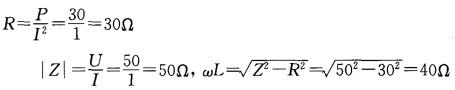
如图所示正弦稳态电路中,若电压表的读数为50V,电流表的读数为1A,功率表的读数为30W,则ωL为( )。
A. 45Ω
B. 25Ω
C. 35Ω...
相关内容:如图,正弦,稳态,电路,电压表,读数,电流表,功率
- 在无功功率不足的电力系统中,首先应采取的措施是()。
(A)采用无功补偿装置补偿无功的缺额(B)改变变压器变比调压
(C)增加发电机的有功出力 (D)...
- 有一环网及其参数如题4-33图所示,节点①为电源,则该环网的功率分点及其功率的分开值为()。
(A)节点②15+j12,10+j6 (B)节点②20+j...
- 某电阻上的电压U = 10 V、I=5 A。求该电阻值、电导值、消耗的电功率和在 1分钟内消耗的电能。
- —台三相4极的感应电动机运行在额定状态,其f=50Hz,nN=1460r/min,转子电阻实际值R2=0.106Ω。在负载转矩不变的情况下,当转子电路中串...
- 一台三相4级感应电动机,在某一运行情况下,电动机从电源输入功率为6kW,定子铜耗PCu1=300W,铁耗PFe=150W,转子铜耗PCu2=200W,机械...
- 在短路的实用计算中,通常只用()的有效值来计算短路功率。
(A)非周期分世电流(B)短路全电流(C)短路电流自由分狱(D)周期分量电流
- 变压器做短路试验时,从电源输入的有功功率主要消耗在()。
(A)铁芯损耗 (B)—次绕组的铜耗
(C)二次绕组的铜耗 (D)—次与二次绕组的铜耗
- 在下列无功电源中,无功功率控制性能最差的是()。
(A)同步发电机(B)同步调相机(C)并联电容器(D))静止补偿器
- 如上题所述,则发电机的功率因数为()。
(A)O.85 (B)O.75 (C)O.65 (D)O.55
- —台三相感应电动机,额定数据为:额定功率PN=4.5kW,额定电压UN=380V,额定功率因数cosφN=0.8,额定效率Th=0.8,额定转速nN=14...