如图所示电路为含耦合电感的正弦稳态电路,开关S断开时,为( )。

作者: tihaiku 人气: - 评论: 0
问题 如图所示电路为含耦合电感的正弦稳态电路,开关S断开时,为( )。
选项
答案 B
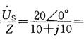
解析 解当S断开时,等值电路如图所示,设电源电压为US,总电抗为Z,= 答案:B

相关内容:如图,电路,耦合,电感,正弦,稳态,开关,开时

猜你喜欢

发表评论
更多 网友评论0 条评论)
暂无评论

访问排行

Copyright © 2012-2014 恰考网 Inc. 保留所有权利。 Powered by tikuer.com

页面耗时0.0319秒, 内存占用1.04 MB, Cache:redis,访问数据库18次