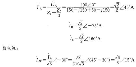
如图所示电路为对称三相电路,相电压为200V,Z1=Z2 = 150 - j150Ω。为()。
相关内容:如图,电路,电压
- 某台发电机额定有功功率25MW,额定电压10.5kV,额定功率因数0.85,则该发电机以额定功率因数运行,可发无功功率为()MVar。
(A)15.5 ...
- 有一条100km的220kV输电线路,线路毎公里的参数r0+jx0=0.08+j0.33Ω,b0=2.85x1O-6S,已知首端实际电压为230kV,末端...
- 已知某一电力网络及其参数如题4-29图所示,忽略电压降落的横分量,则节点③的电压U3为()。
(A)110.22kV(B)109.43kV(C)114....
- 我国电力网络目前的平均额定电压主要有()。
(A) 3.15kV,6.3kV,10.5kV,36.75kV,115.5kV,231kV,346.5kV,...
- 我国电力网络目前的额定电压主要有()。
(A) 3kV,6kV,10kV,35kV,110kV,220kV,330kV,500kV
(B) 3kV,6...
- 在图1.1-8电路中,Is =2 A,求该独立电流源供出的功率。
- 下列关于两相短路说法不正确的是()。
(A)两相短路电流为正序电流的√3倍(B)短路点非故障相电压为正序电压的两倍
(C)故障相电压为非故障相电压的一...
- 上题图为一台单相变压器示意图,其额定电压U1N/U2N=220/110V。现将X与a两端用导线连接,在A、x之间加电压U=330V,则变压器的主磁通与空载...
- —台三相4极的感应电动机运行在额定状态,其f=50Hz,nN=1460r/min,转子电阻实际值R2=0.106Ω。在负载转矩不变的情况下,当转子电路中串...
- 在严重污秽地区的电网外绝缘水平,主要由()所决定。
(A)铁磁谐振过电压 (B)切断空载线路
(C)雷电放电所产生的感应过电压 (D)系统最大运行电压