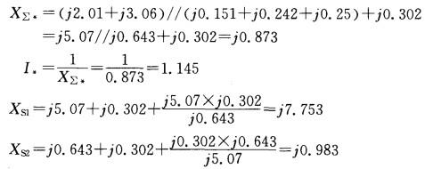
如图所示为某系统等值电路,各元件参数标么值标在图中,f点发生三相短路时,短路点的总电路电流及各电源对短路点的短路阻抗分别为( )。 A. 1. 136 ...

作者: tihaiku 人气: - 评论: 0
问题 如图所示为某系统等值电路,各元件参数标么值标在图中,f点发生三相短路时,短路点的总电路电流及各电源对短路点的短路阻抗分别为( )。
选项 A. 1. 136 0. 25 0. 033 B. 2. 976 9. 72 1. 930 C. 11. 360 9. 72 0.993 D. 1. 145 7. 753 0. 983
答案 D
解析 解 如图a)、b)所示,系统的总电抗为: 答案:D

相关内容:如图,系统,电路,元件,参数,标么,值标,图中,短路,电流,电源,阻抗

猜你喜欢

发表评论
更多 网友评论0 条评论)
暂无评论
错误啦!

错误信息

  • 消息: [程序异常] : MISCONF Redis is configured to save RDB snapshots, but it's currently unable to persist to disk. Commands that may modify the data set are disabled, because this instance is configured to report errors during writes if RDB snapshotting fails (stop-writes-on-bgsave-error option). Please check the Redis logs for details about the RDB error.
  • 文件: /twcms/kongphp/cache/cache_redis.class.php
  • 位置: 第 85 行
    <?php echo 'KongPHP, Road to Jane.'; ?>