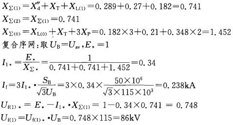
系统接线如图所示,图中参数均为归算到同一基准,基准值之下(SB = 50MVA)的标幺值。系统在f点发生a相接地,短路处短路电流及正序相电压有名值为( )...
相关内容:系统,接线,如图,图中,参数,归算,基准,标幺,接地,短路,电流,正序,电压
- —台三相变压器的额定数据为=750kVA,U1N/U2N=10/0.4kV,连接组为Y/Yn-0。在低压侧做空载试验,测得线电压为400V,线电流为60A...
- 一台三相变压器的额定容量SN=5600kVA,额定电压U1N/U2N=10/6.3kV,连接组为Y/△—11。在高压边做短路试验,加线电压为650V,测得...
- 变压器做短路试验时,从电源输入的有功功率主要消耗在()。
(A)铁芯损耗 (B)—次绕组的铜耗
(C)二次绕组的铜耗 (D)—次与二次绕组的铜耗
- 一台单相变压器的额定电压为220/110V,在低压侧测得励磁阻抗 Zm =600,则在髙压侧测得的励磁阻抗为()Ω。
(A)60 (B)120 (C)2...
- 在发生不对称短路的网络中,下列说法中不正确的是()。
(A)电源点的正序电压最高 (B)短路点的负序和零序电压最髙
(C)单相短路时电压最不对称 (D...
- 下列说法不正确的是()。
(A)变压器的正序、负序和零序的等值漏抗相等
(B)当变压器有三角形接法绕组时,取Xm0 =0.3~1.0
(C)变压器的...
- Ip=0.5,短路发生在发电机电压母线时,短路电流的最大有效值I im为()。
(A)0.81(B)0.755 (C)0.78 (D)0.5
- 短路容址也称短路功率,已知SB=100MVA,I?t=0.8,则SB为()MVA。
(A)40 (B)80 (C)113 (D)190
- 在短路的实用计算中,通常只用()的有效值来计算短路功率。
(A)非周期分世电流(B)短路全电流(C)短路电流自由分狱(D)周期分量电流
- 设Zff为短路点输入阻抗,Zjf为j、f之间的转移阻抗,n为网络中节点总数,则下列关于电流分布系数的式子中正确的是()。