园丁给小区的花池种月季花。如果每个花池种8棵月季,则缺少15棵。如果每个花池种 6棵月季,则缺少1棵。那么一共有月季花( )棵。 A. 37 B. 39...

作者: tihaiku 人气: - 评论: 0
问题 园丁给小区的花池种月季花。如果每个花池种8棵月季,则缺少15棵。如果每个花池种 6棵月季,则缺少1棵。那么一共有月季花( )棵。 A. 37 B. 39 C. 40 D. 41
选项
答案 D
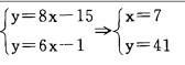
解析 设花池有X个,月季花有y棵,根据题意可列方程:

相关内容:园丁,小区,花池,月季花,月季,共有

猜你喜欢

发表评论
更多 网友评论0 条评论)
暂无评论

Copyright © 2012-2014 恰考网 Inc. 保留所有权利。 Powered by tikuer.com

页面耗时0.0313秒, 内存占用1.04 MB, Cache:redis,访问数据库18次