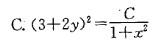
微分方程(3+2y)xdx+(1+x2)dy=0 的通解为:A.1+x2=Cy B. (1+x2)(3+2y)=C D. (1+x2)2(3+2y)=C

作者: rantiku 人气: - 评论: 0
问题 微分方程(3+2y)xdx+(1+x2)dy=0 的通解为: A.1+x2=Cy B. (1+x2)(3+2y)=C D. (1+x2)2(3+2y)=C
选项
答案 B
解析 提示:判断方程的类型为可分离变量方程,将方程分离变量得两边 积分计算。

猜你喜欢

发表评论
更多 网友评论0 条评论)
暂无评论

访问排行

Copyright © 2012-2014 恰考网 Inc. 保留所有权利。 Powered by tikuer.com

页面耗时0.0281秒, 内存占用1.03 MB, Cache:redis,访问数据库17次