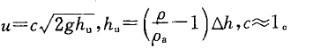
如图所示,用一附有水压差计的毕托管测定某风道中空气流速。巳知压差计的读数Δh= 185mm,水的密度ρ=1000kg/m3,空气的密度ρa=1. 20kg...

作者: rantiku 人气: - 评论: 0
问题 如图所示,用一附有水压差计的毕托管测定某风道中空气流速。巳知压差计的读数Δh= 185mm,水的密度ρ=1000kg/m3,空气的密度ρa=1. 20kg/m3,测得的气流速度u约为: A. 50m/s B. 55m/s C. 60m/s D. 65m/s
选项
答案 B
解析 提示:参看元流能量方程的应用--毕托管测流速相关内容。 点流速

猜你喜欢

发表评论
更多 网友评论0 条评论)
暂无评论

访问排行

Copyright © 2012-2014 恰考网 Inc. 保留所有权利。 Powered by tikuer.com

页面耗时0.0430秒, 内存占用1.03 MB, Cache:redis,访问数据库20次