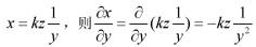
已知xy=kz(k为正常数),(A)1 (B)-1 (C)k (D)

作者: rantiku 人气: - 评论: 0
问题 已知xy=kz(k为正常数), (A)1 (B)-1 (C)k (D)
选项
答案 B
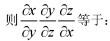
解析 (此时把z看做常数,对y求偏导); 同理:
发表评论
更多 网友评论0 条评论)
暂无评论

访问排行

Copyright © 2012-2014 恰考网 Inc. 保留所有权利。 Powered by tikuer.com

页面耗时0.0269秒, 内存占用1.03 MB, Cache:redis,访问数据库19次