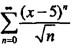
幂级数的收敛域为()。A. [-1,1)B. [4,6)C. [4,6]D. (4,6]

作者: rantiku 人气: - 评论: 0
问题 幂级数的收敛域为()。
选项 A. [-1,1) B. [4,6) C. [4,6] D. (4,6]
答案 B
解析 提示:令t=x-5,化为麦克劳林级数,求收敛半径,再讨论端点的敛散性。

猜你喜欢

发表评论
更多 网友评论0 条评论)
暂无评论

Copyright © 2012-2014 恰考网 Inc. 保留所有权利。 Powered by tikuer.com

页面耗时0.0341秒, 内存占用1.01 MB, Cache:redis,访问数据库19次