质量一定的理想气体,从相同状态出发,分别经历等温过程、等压过程和绝热过程,使其体积增加一倍。那么气体温度的改变(绝对值)在()。A.绝热过程中最大,等温过...

作者: tihaiku 人气: - 评论: 0
问题 质量一定的理想气体,从相同状态出发,分别经历等温过程、等压过程和绝热过程,使其体积增加一倍。那么气体温度的改变(绝对值)在()。
选项 A.绝热过程中最大,等温过程中最小 B.绝热过程中最大,等压过程中最小 C.等压过程中最大,绝热过程中最小 D.等压过程中最大,等温过程中最小
答案 D
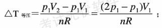
解析 等压过程:根据理想气体状态方程,可得:

相关内容:质量,理想,气体,状态,经历,过程,体积,温度,绝对值

猜你喜欢

发表评论
更多 网友评论0 条评论)
暂无评论

访问排行

Copyright © 2012-2014 恰考网 Inc. 保留所有权利。 Powered by tikuer.com

页面耗时0.0416秒, 内存占用1.04 MB, Cache:redis,访问数据库16次