某单回路单导线220kV架空送电线路,频率f为50Hz,导线采用LGJ-400/50,导线直径为27.63mm,导线截面为451.55mm2,导线的铝截面...

作者: tihaiku 人气: - 评论: 0
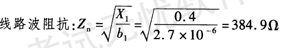
问题 某单回路单导线220kV架空送电线路,频率f为50Hz,导线采用LGJ-400/50,导线直径为27.63mm,导线截面为451.55mm2,导线的铝截面为399.79mm2,三相导体a、b、c为水平排列,线间距离为Dab=Dbc=7m,Dac=14m。 假设线路正序电抗为0.4Ω/km,正序电纳为2.7×10-6S/km,计算线路的波阻抗Zc应为下列哪项数值?() (A)395.1Ω (B)384.9Ω (C)377.8Ω (D)259.8Ω
选项
答案 B
解析 解答过程: 《电力工程高压送电线路设计手册》(第二版)P24式(2-1-41)。

相关内容:某单回,导线,架空,线路,频率,LGJ-400,直径,27.63mm,451.55mm2,截面

猜你喜欢

发表评论
更多 网友评论0 条评论)
暂无评论

访问排行

Copyright © 2012-2014 恰考网 Inc. 保留所有权利。 Powered by tikuer.com

页面耗时0.0734秒, 内存占用1.04 MB, Cache:redis,访问数据库18次