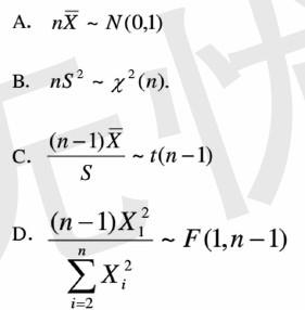
设X1,X2,....,Xn(n≥2)为来自总体N(0,1)的简单随机样本,为样本均值,S2为样本方差,则()。

作者: tihaiku 人气: - 评论: 0
问题 设X1,X2,....,Xn(n≥2)为来自总体N(0,1)的简单随机样本,为样本均值,S2为样本方差,则()。
选项
答案 D
解析

猜你喜欢

发表评论
更多 网友评论0 条评论)
暂无评论

访问排行

Copyright © 2012-2014 恰考网 Inc. 保留所有权利。 Powered by tikuer.com

页面耗时0.0579秒, 内存占用1.03 MB, Cache:redis,访问数据库19次