设α1,α2,α3均为3维列向量,记矩阵A =(α1,α2,α3), B=(α1+α2+α3,α1+2α2+4α3,α1+3α2+9α3),如果 A =...

作者: tihaiku 人气: - 评论: 0
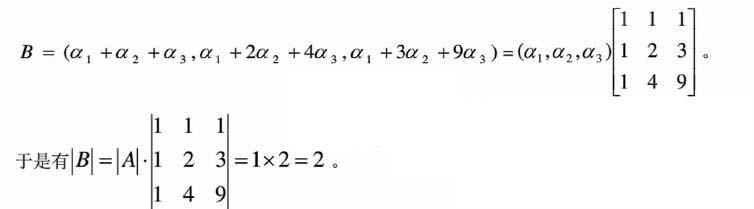
问题 设α1,α2,α3均为3维列向量,记矩阵A =(α1,α2,α3), B=(α1+α2+α3,α1+2α2+4α3,α1+3α2+9α3),如果 A =1,那么 B =()。
选项 A. 1 B. 2 C. 3 D. 4
答案 B
解析 将B写成用A右乘另一矩阵的形式,再用方阵相乘的行列式性质进行计算即可,由题设,有

相关内容:向量,矩阵

猜你喜欢

发表评论
更多 网友评论0 条评论)
暂无评论

访问排行

Copyright © 2012-2014 恰考网 Inc. 保留所有权利。 Powered by tikuer.com

页面耗时0.0346秒, 内存占用1.04 MB, Cache:redis,访问数据库18次