如图所示贮水设备,在点C测得绝对压强P=196120Pa,h=1m,R=1m,则作用在半球AB上的静水总压力为()。 A. 584.9kN B. 24...

作者: tihaiku 人气: - 评论: 0
问题 如图所示贮水设备,在点C测得绝对压强P=196120Pa,h=1m,R=1m,则作用在半球AB上的静水总压力为()。
选项 A. 584.9kN B. 246.6kN C. 605.4kN D. 267.0kN
答案 B
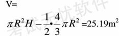
解析 设自由液面至C点的高度为h+H,由p=ρg(h+H)+Pu,其中pu为标准大气压,即1.013×105Pa,得:H=8.6850m,向自由表面做压力体,则压力体为以R为底半径,H为高的圆柱体减去半球形,其体积为:根据曲面上静水总压力公式得:P=ρgV=246.6KN。

相关内容:如图,设备,在点,压强,196120Pa,半球,压力,584.9kN

猜你喜欢

发表评论
更多 网友评论0 条评论)
暂无评论

访问排行

Copyright © 2012-2014 恰考网 Inc. 保留所有权利。 Powered by tikuer.com

页面耗时0.0432秒, 内存占用1.05 MB, Cache:redis,访问数据库20次